Pep10513 | Tachyplesin I | 118231-04-2
- 詳細描述
- 資料下載
Pep10513 | Tachyplesin I | 118231-04-2
|
貨號 |
Pep10513 |
|
名稱 |
Tachyplesin I |
|
英 文其他名稱 |
Tachyplesin |
|
CAS No. |
118231-04-2 |
|
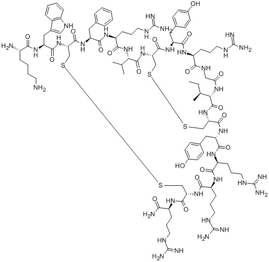
單字母序列 |
KWCFRVCYRGICYRRCR-NH2 |
|
三字母序列 |
Lys-Trp-Cys-Phe-Arg-Val-Cys-Tyr-Arg-Gly-Ile-Cys-Tyr-Arg-Arg-Cys-Arg-NH2 | H-Lys-Trp-Cys-Phe-Arg-Val-Cys-Tyr-Arg-Gly-Ile-Cys-Tyr-Arg-Arg-Cys-Arg-NH2 |





南京肽業(yè)生物科技有限公司
地址:
Email: info@njpeptide.com
總機:025-58361106-801
