Pep10913 | α-CGRP (23-37) (human) | 145459-33-2
- 詳細(xì)描述
- 資料下載
Pep10913 | α-CGRP (23-37) (human) | 145459-33-2
|
貨號 |
Pep10913 |
|
名稱 |
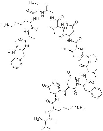
α-CGRP (23-37) (human) |
|
英 文其他名稱 |
VAL-LYS-ASN-ASN-PHE-VAL-PRO-THR-ASN-VAL-GLY-SER-LYS-ALA-PHE-NH2;ALPHA-CGRP (23-37) (HUMAN);ALPHA-CALCITONIN GENE-RELATED PEPTIDE (23-37) (HUMAN);H-VAL-LYS-ASN-ASN-PHE-VAL-PRO-THR-ASN-VAL-GLY-SER-LYS-ALA-PHE-NH2;α-CGRP (23-37) (human);a-CGRP (23-37) (huMan) |
|
CAS No. |
145459-33-2 |
|
單字母序列 |
VKNNFVPTNVGSKAF-NH2 |
|
三字母序列 |
Val-Lys-Asn-Asn-Phe-Val-Pro-Thr-Asn-Val-Gly-Ser-Lys-Ala-Phe-NH2 | H-Val-Lys-Asn-Asn-Phe-Val-Pro-Thr-Asn-Val-Gly-Ser-Lys-Ala-Phe-NH2 |





南京肽業(yè)生物科技有限公司
地址:
Email: info@njpeptide.com
總機(jī):025-58361106-801
