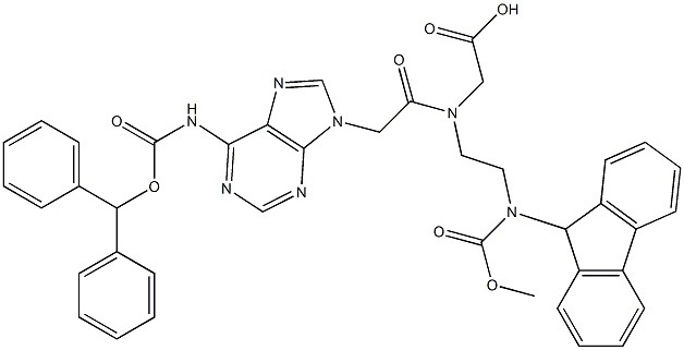
R00359| 186046-82-2| Fmoc-PNA-A(Bhoc)-OH
- 詳細(xì)描述
- 資料下載
R00359| 186046-82-2| Fmoc-PNA-A(Bhoc)-OH
|
中文名稱: |
PNA-腺嘌呤單體 |
|
中文同義詞: |
2-[2-[6-[[(二苯甲基氧基)羰基]氨基]-9H-嘌呤-9-基]-N-[2-(FMOC-氨基)乙基]乙酰氨基]乙酸;PNA-腺嘌呤單體;N-[[6-[[(二苯基甲氧基)羰基]氨基]-9H-嘌呤-9-基]乙酰基]-N-[2-[[芴甲氧羰基]氨基]乙基]甘氨酸;PNA-腺嘌呤單體 / N- [2- [6 - [[(二苯基甲氧基)羰基]氨基] -9H-嘌呤-9-基]乙?;?/span>] -N- [2 - [[(9H-芴-9-基甲氧基)羰基]氨基]乙基]甘氨酸 |
|
英文名稱: |
FMoc-PNA-A(Bhoc)-OH |
|
英文同義詞: |
2-[2-(6-{[(diphenylmethoxy)carbonyl]amino}-9H-purin-9-yl)-N-[2-({[(9H-fluoren-9-yl)methoxy]carbonyl}amino)ethyl]acetamido]acetic acid;N-[2-[6-[[(Diphenylmethoxy)carbonyl]amino]-9H-purin-9-yl]acetyl]-N-[2-[[(9H-fluoren-9-ylmethoxy)carbonyl]amino]ethyl]glycine;2-[2-[6-[[(Benzhydryloxy)carbonyl]amino]-9H-purin-9-yl]-N-[2-(Fmoc-amino)ethyl]acetamido]acetic Acid;FMoc-PNA-A(Bhoc)-OH;Glycine,N-[[6-[[(diphenylmethoxy)carbonyl]amino]-9H-purin-9-yl]acetyl]-N-[2-[[(9H-fluoren-9-ylmethoxy)carbonyl]amino]ethyl]- (Related Reference);Fmoc-A-(Bhoc)-OH;Fmoc-PNA-adenine(Bhoc)-OH;N-[[6-[[(Diphenylmethoxy)carbonyl]amino]-9H-purin-9-yl]acetyl]-N-[2-[[(9H-fluoren-9-ylmethoxy)carbonyl]amino]ethyl]glycine |
|
CAS號(hào): |
186046-82-2 |
|
分子式: |
C40H35N7O7 |
|
分子量: |
725.7486 |





南京肽業(yè)生物科技有限公司
地址:
Email: info@njpeptide.com
總機(jī):025-58361106-801
