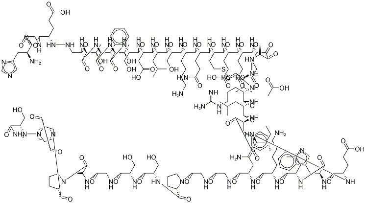
Pep00411|Exenatide Acetate|醋酸艾塞那肽 |141732-76-5
- 詳細(xì)描述
- 資料下載
|
中文名稱(chēng): |
醋酸艾塞那肽 |
|
中文同義詞: |
醋酸艾塞那肽;依克那肽;醋酸艾塞那肽 141732-76-5;醋酸艾塞那肽 EXENATIDEACETATE |
|
英文名稱(chēng): |
Exenatide acetate |
|
英文同義詞: |
EXENATIDE ACETATE;ENFUVIRTIDE ACETATE;Exenatide;His-Gly-Gly-Gly-Thr-Phe-Thr-Ser-Asp-Leu-Ser-Lys-Gln-Met-Glu-Glu-Glu-Ala-Val-Arg-Leu-Phe-Ile-Glu-Trp-Leu-Lys-Asn-Gly-Gly-Pro-Ser-Gly-Ala-Pro-Pro-Pro-Ser-NH{2};EXENATIDE ACETATE(EXENDIN-4);Extendin-4;Unii-9p1872D4ol;His-Gly-Gly-Gly-Thr-Phe-Thr-Ser-Asp-Leu-Ser-Lys-Gln-Met-Glu-Glu-Glu-Ala-Val-Arg-Leu-Phe-Ile-Glu-Trp-Leu-Lys-Asn-Gly-Gly-Pro-Ser-Ser-Gly-Ala-Pro-Pro-Pro-Ser-NH2 |
|
CAS號(hào): |
141732-76-5 |
|
分子式: |
C186H284N50O62S |
|
分子量: |
4244.60796 |





南京肽業(yè)生物科技有限公司
地址:
Email: info@njpeptide.com
總機(jī):025-58361106-801
