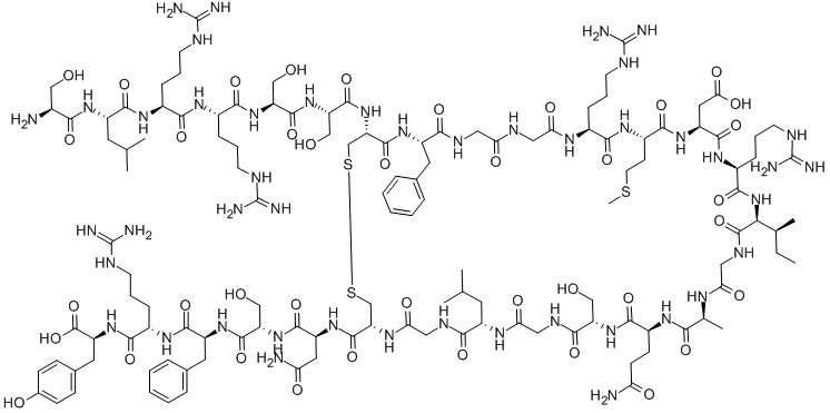
Pep00521|Atrial Natriuretic Peptide (1-28), human|醋酸卡培立肽|89213-87-6
- 詳細(xì)描述
- 資料下載
|
中文名稱: |
卡培立肽 |
|
中文同義詞: |
卡培立肽;SER-LEU-ARG-ARG-SER-SER-CYS-PHE-GLY-GLY-ARG-MET: O-ASP-ARG-ILE-GLY-ALA-GLN-SER-GLY-LEU-GLY-CYS-ASN-SER-PHE-ARG-TYR[SLRRSSCFGGR-MET: O-DRIGAQSGLGCNSFRY]DISULFIDE BRIDGE CYS7-CYS23.;醋酸卡培立肽 89213-87-6;人重組型Α-心房尿鈉肽 |
|
英文名稱: |
ANP 1-28, HUMAN |
|
英文同義詞: |
ATRIAL NATRIURETIC PEPTIDE HUMAN;ATRIAL NATRIURETIC PEPTIDE HUMAN, 1-28;ATRIAL NATRIURETIC PEPTIDE 1-28, HUMAN;ATRIAL NATRIURETIC PEPTIDE (1-28), HUMAN, PORCINE;ATRIAL NATRIURETIC FACTOR 1-28, HUMAN;ATRIAL NATRIURETIC FACTOR (1-28) (HUMAN, CANINE);ATRIAL NATRIURETIC FACTOR (1-28) (HUMAN, PORCINE);ANP, ALPHA-, HUMAN |
|
CAS號(hào): |
89213-87-6 |
|
分子式: |
C127H203N45O39S3 |
|
分子量: |
3080.44 |





南京肽業(yè)生物科技有限公司
地址:
Email: info@njpeptide.com
總機(jī):025-58361106-801
