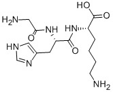
Pep02031|GHK-Cu|藍(lán)銅勝肽,銅肽|49557-75-7
- 詳細(xì)描述
- 資料下載
Pep02031|GHK-Cu|藍(lán)銅勝肽,銅肽|49557-75-7
|
中文名稱: |
|
|
中文同義詞: |
甘氨酰-L-組氨酰-L-賴氨酸;藍(lán)銅勝肽;三勝肽;藍(lán)銅肽/甘氨酰-L-組氨酰-L-賴氨酸;藍(lán)銅勝肽,銅肽;GHK-CU/藍(lán)銅勝肽;三勝肽GHK CU |
|
英文名稱: |
Glycyl-L-Histidyl-L-Lysine |
|
英文同義詞: |
Glycyl-L-Histidyl-L-Lysine;glycyl-histidyl-lysine;H-Gly-His-Lys-OH:Cu;(2S)-6-Amino-2-[[(2S)-2-[(2-aminoacetyl)amino]-3-(1H-imidazol-5-yl)propanoyl]amino]hexanoic acid;Growth-modulating peptide;Liver growth factor;Copper Peptide;Gly-His-Lys-Cu |
|
CAS號(hào): |
|
|
分子式: |
C14H24N6O4 |
|
分子量: |
340.37816 |





南京肽業(yè)生物科技有限公司
地址:
Email: info@njpeptide.com
總機(jī):025-58361106-801
